Home
Resources
Events
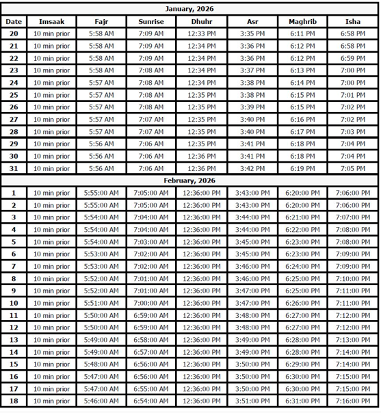
Prayer Timings
IJEC
Private Program
Funeral/Burial Services
Forest Lawn Cemetery
Contact us
Contact us
Governing body
Hadiths
IJA Miami
Home
Resources
Events
Prayer Timings
IJEC
Private Program
Funeral/Burial Services
Forest Lawn Cemetery
Contact us
Contact us
Governing body
Hadiths
Asslaam-o-Alaykum, Please see below IJA schedule of events.
Cart (
0
)